langevin¶
Tools for integrating the directed-percolation Langevin equation¶
The langevin package provides software tools to integrate a time-dependent density field described by Langevin equations of directed-percolation type. It can be extended to solve Langevin equations of absorbing phase transition (APT) type.
This is a work in progress
langevin is under active development as part of a research effort.
If you are interested in using it, or even better, interested in
collaborating in its development, please contact the maintainer cstarkjp@gmail.com.
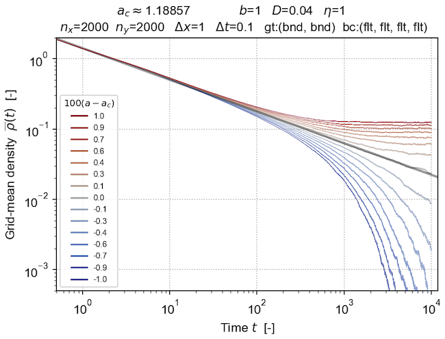
Directed percolation (DP) is the type example of a non-equilibrium, absorbing phase transition. Its Langevin equation is: $$ \partial_t\rho = a \rho - b \rho^2 + D \nabla^2 \rho + \eta\sqrt{\rho}\,\xi $$ where \(\rho(\mathbf{x},t)\) is a fluctuating meso-scale field evolving nonlinearly (with coefficients \(a\) and \(b\)) subject to diffusion (with rate \(D\)) and multiplicative white noise \(\sqrt{\rho}\,\xi(\mathbf{x},t)\) (with amplitude \(\eta\)).

The langevin integrator employs the operator-splitting method originated largely by Dornic et al (2005). The software tools are implemented as a pip-installable Python package with a C++ core, a set of Jupyter notebooks, and related Python scripts.